深圳市伊俐信科技有限公司
消防產品,認證,檢測,技術,管理,咨詢服務中心
消防產品,認證,檢測,技術,管理,咨詢服務中心
2024-12-05 10:11:45 責任編輯:深圳市伊俐信科技有限公司 瀏覽:0
各有關單位:
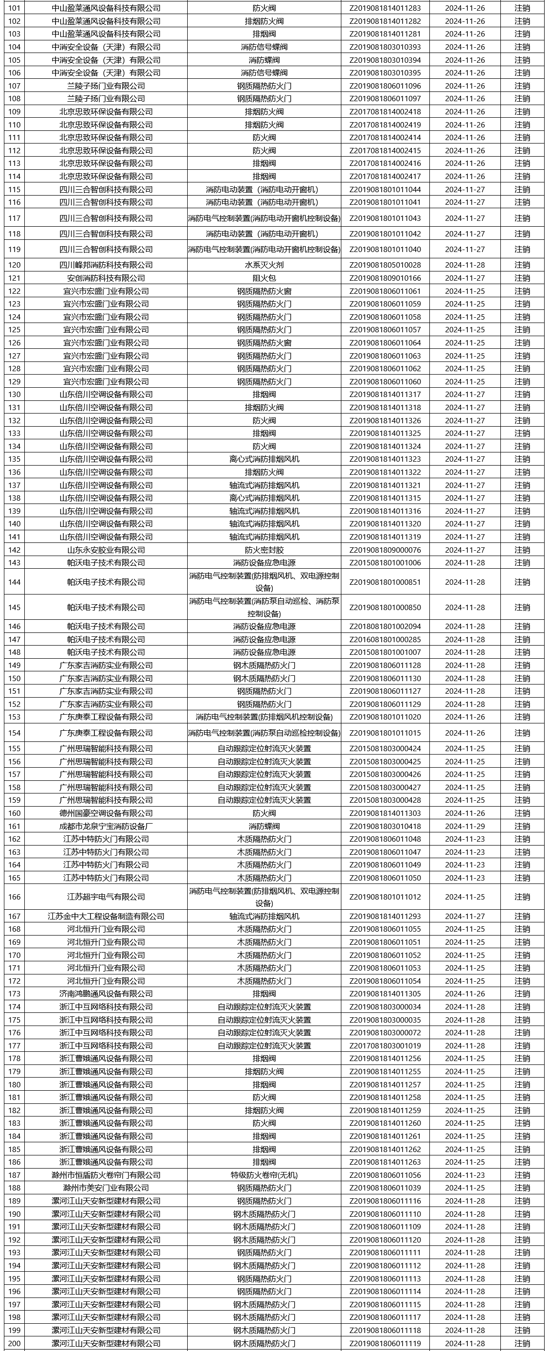
按照《關于強化消防產品認證信息“公開、透明”工作的公告》的要求,現公布本中心本周認證結果。
如有任何問題,歡迎致電我中心業務處室(聯系方式點擊此處),郵箱:cccf@263.net。



全國統一服務熱線
139 2463 7548
郵箱 :591053467@qq.com
總部地址:深圳市光明區鳳凰街道南太云創谷產業中心3棟6樓